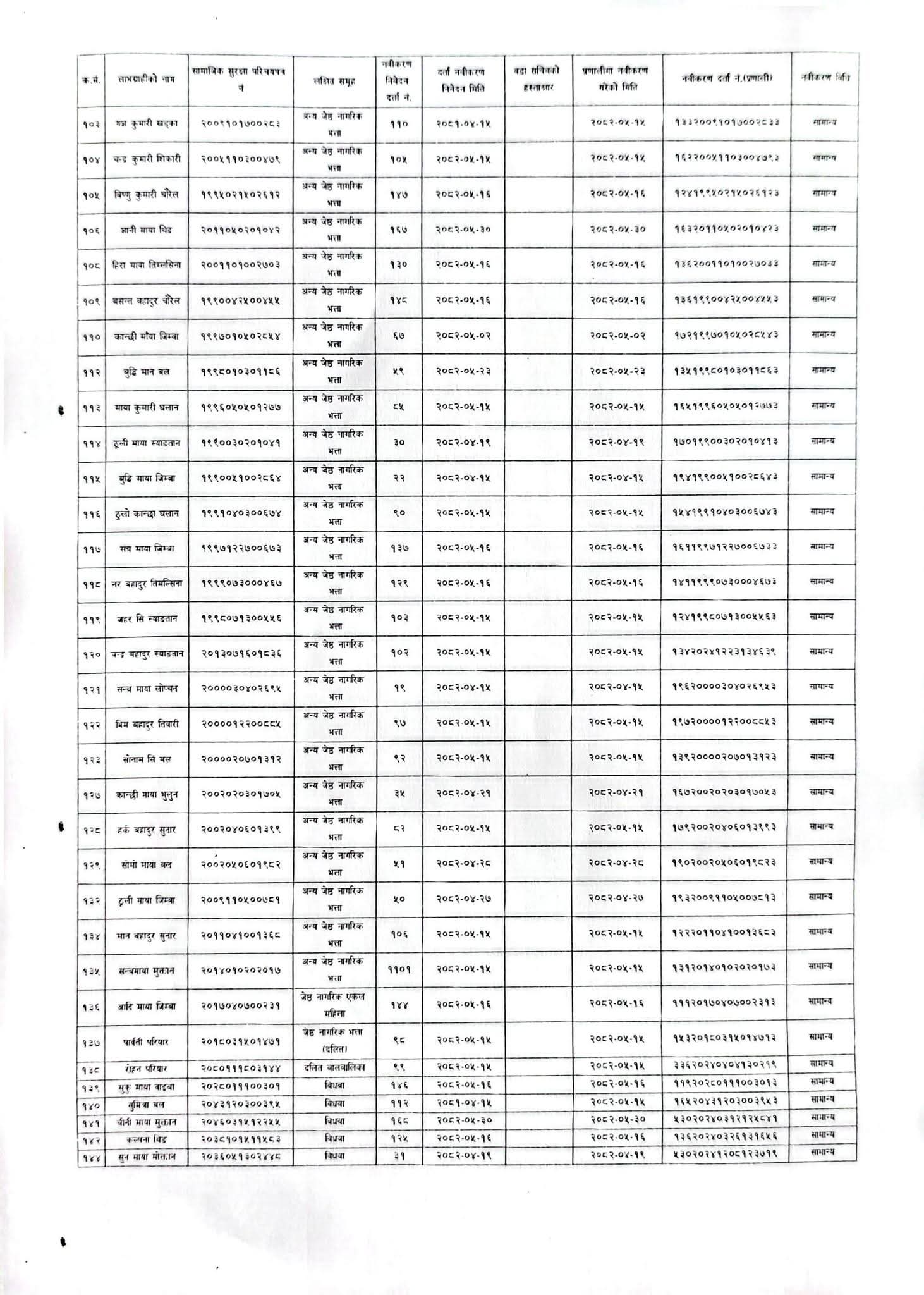
बकैया–२ मा सामाजिक सुरक्षा भत्ता लिने लाभग्राहीलाई ७ दिनभित्र बायोमेट्रिक गर्न आग्रह
बकैया,मकवानपुर – मकवानपुरको बकैया गाउँपालिका वडा नं. २ ले सामाजिक सुरक्षा भत्ता प्राप्त गर्ने तर हालसम्म बायोमेट्रिक नगरेका लाभग्राहीलाई छिट्टै बायोमेट्रिक गर्न आग्रह गरेको छ।
वडा कार्यालयले सूचना जारी गर्दै सामाजिक सुरक्षा भत्ता लिने लाभग्राहीमध्ये बायोमेट्रिक गर्न बाँकी रहेकाहरूले सूचना प्रकाशित भएको मितिले ७ दिनभित्र अनिवार्य रूपमा बायोमेट्रिक गर्नुपर्ने जनाएको छ।

वडा कार्यालयका अनुसार तोकिएको समयमा बायोमेट्रिक नगरेमा सामाजिक सुरक्षा भत्ता रोक्न सकिने समेत जानकारी गराइएको छ। त्यसैले बायोमेट्रिक गर्न बाँकी रहेका सबै लाभग्राहीलाई यथाशीघ्र वडा कार्यालयमा उपस्थित भई प्रक्रिया पूरा गर्न आग्रह गरिएको छ।


उक्त सूचना वडा अध्यक्ष विवेकराज स्याङ्तान द्वारा जारी गरिएको हो।
